ndb - Nieruchomości, doradzctwo, badania
Użytkowanie wieczyste - przekształcenie w prawo własności lub nabycie prawa własności gruntu przez użytkownika wieczystego
1. Użytkowanie wieczyste: przekształcenia własnościowe, nabycie prawa własności
Prawo użytkowania wieczystego (UW), nie zaś dzierżawy wieczystej, wieczystej dzierżawy czy też dzierżawy wieloletniej jak chcą niektórze, istnieje w polskim ustawodawstwie od roku 1964. Prawo UW jest prawem, które w systemie prawa rzeczowego klasyfikowane jest tuż po własności a przed ograniczonymi prawami rzeczowymi. Pozycja społeczno-gospodarcza prawa UW od 1985 roku podlega zmianom. Ze względu na charakter społeczno-gospodarczy prawa oraz zmieniającą się sytuację prawno-gospodarczą w Polsce prawo UW było i jest nadal przedmiotem zabiegów o charakterze prawnym. Celem tych zabiegów jest przekształcenie prawa UW w prawo własności. Przekształcenie prawa UW w prawo własności jest procesem niejednorodnym. Pod tym pojęciem można rozumieć co najmniej trzy różne sposoby przejścia od prawa użytkowania wieczystego do prawa własności.
2. Nabycie prawa własności przez użytkownika wieczystego
W Polsce istniała i nadal istnieje możliwość przekształcenia użytkowania wieczystego w prawo własność na podstawie umowy z właścicielem gruntu - gminą, powiatem, województwem samorządowym albo skarbem państwa w oparciu o ustawę z 1997 r. o gospodarce nieruchomościami (Dz. U. z 2004 r. nr 261, poz. 2603 z późn. zm.). Prawo własności na podstawie ustawy o gospodarce nieruchomościami mogą nabyć wszyscy użytkownicy wieczyści, także niebędący osobami fizycznymi w tym spółki i spółdzielnie, bez względu na przeznaczenie gruntu. Wskazany przepis ustanawia kilka zasad obowiązujących przy przekształceniach własnościowych
- zasadę, że nieruchomość oddana w użytkowane wieczyste może być sprzedana wyłącznie użytkownikowi wieczystemu;
- z dniem zawarcia umowy sprzedaży prawo użytkowania wieczystego wygasa;
- sprzedaż na rzecz użytkownika wieczystego następuje bez przetargu;
- cena, za jaką użytkownik wieczysty uzyska prawo własności, nie może być niższa od wartości rynkowej nieruchomości;
- na poczet ceny sprzedawanego gruntu zalicza się wartość prawa użytkowania wieczystego tego gruntu, określoną według stanu na dzień sprzedaży;
- cena sprzedaży nieruchomości może być rozłożona na oprocentowane raty, nie dłużej jednak niż na 10 lat; wysokość odsetek równa jest stopie redyskonta weksli stosowanej przez NBP lub według umownych stawek oprocentowania, niespłacona należność musi być zabezpieczona hipoteką wpisana do księgi wieczystej, wekslem, itp;
3. Przekształcenie użytkowania wieczystego w prawo własności z mocy prawa
Procesy przekształcenia użytkowania wieczystego w prawo własności z mocy prawa realizowane są w Polsce od 1997 roku. W chwili obecnej aktem regulującym proces przekształceń jest ustawa z 29 lipca 2005 r. o przekształceniu prawa użytkowania wieczystego w prawo własności nieruchomości (Dz.U. nr 175, poz. 1459) – obowiązująca od 13 października 2005 r. Poniżej przedstawiono podstawowe założenia związane z procesem przekształceń prawa UW w prawo własności zgodnie z tą ustawą.
W przypadku współużytkowania wieczystego z żądaniem przekształcenia występują wszyscy współużytkownicy wieczyści jeżeli suma udziałów wynosi co najmniej połowę. Jeżeli co najmniej jeden współużytkownik wieczysty zgłosi sprzeciw wobec złożonego wniosku o przekształcenie, właściwy organ zawiesza postępowanie. W takim przypadku przepis art. 199 Kodeksu cywilnego stosuje się odpowiednio.
Podmioty uprawnione:
- Osoby fizyczne i prawne będące w dniu 13 października 2005 r. użytkownikami wieczystymi nieruchomości mogą wystąpić z żądaniem przekształcenia prawa użytkowania wieczystego tych nieruchomości w prawo własności.
- Osoby fizyczne i prawne będące właścicielami lokali, których udział w nieruchomości wspólnej obejmuje prawo użytkowania wieczystego - stosuje się również do osób, które prawo użytkowania wieczystego albo udział w tym prawie uzyskały po dniu 13 października 2005 r..
- Spółdzielnie mieszkaniowe będące właścicielami budynków mieszkalnych lub garaży.
- Osoby fizyczne będące w dniu 13 października 2005 r. użytkownikami wieczystymi nieruchomości, jeżeli użytkowanie wieczyste uzyskały w zamian za wywłaszczenie lub przejęcie nieruchomości gruntowej na rzecz Skarbu Państwa na podstawie innych tytułów, przed dniem 5 grudnia 1990 r.;
- Osoby fizyczne będące w dniu 13 października 2005 r. użytkownikami wieczystymi nieruchomości, jeżeli użytkowanie wieczyste uzyskały na podstawie art. 7 dekretu z dnia 26 października 1945 r. o własności i użytkowaniu gruntów na obszarze m.st. Warszawy (Dz. U. Nr 50, poz. 279) - stosuje się również do osób, które prawo użytkowania wieczystego albo udział w tym prawie uzyskały po dniu 13 października 2005 r..
- Osoby fizyczne i prawne będące następcami prawnymi osób, o których mowa w pkt. I, IV i V, oraz osoby fizyczne i prawne będące następcami prawnymi osób, o których mowa w pkt II i III.
Termin składania wniosku:
Wystąpienie z żądaniem przekształcenia, które następuje w wyniku decyzji administracyjnej jest możliwe do 31 grudnia 2012 roku.
Opłaty za przekształcenie
- Osoba, na rzecz której zostało przekształcone prawo użytkowania wieczystego w prawo własności nieruchomości, jest obowiązana do uiszczenia dotychczasowemu właścicielowi opłaty z tytułu tego przekształcenia. W decyzji o przekształceniu właściwy organ ustala opłatę z tytułu przekształcenia prawa użytkowania wieczystego w prawo własności. Do ustalenia tej opłaty stosuje się odpowiednio przepisy art. 67 ust. 1, art. 68 ust. 1, art. 69 oraz art. 70 ust. 2-4 ustawy z dnia 21 sierpnia 1997 r. o gospodarce nieruchomościami (Dz. U. z 2004 r. Nr 261, poz. 2603 z późn. zm.).Zgodni z art. 69 ustawy o gospodarce nieruchomościami na poczet ceny nieruchomości gruntowej sprzedawanej jej użytkownikowi wieczystemu zalicza się kwotę równą wartości prawa użytkowania wieczystego tej nieruchomości, określoną według stanu na dzień sprzedaży. W związku z tym cenę nabycia nieruchomości (Cn) ustala się według zależności:
Cn = (Wwł - Wuw) x (1- B/100)
gdzie:
Wwł - wartość gruntu jako prawa własności;
Wuw - wartość gruntu jako prawa użytkowania wieczystego;
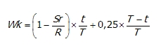
B - bonifikata (w %) w wysokości określonej przez gminę, powiat, województwo samorządowe albo skarb państwa.Zgodnie z § 30 Rozporządzenia Rady Ministrów z dnia 21 września 2004 r. w sprawie wyceny nieruchomości i sporządzania operatu szacunkowego (Dz. U. z 2004 r. Nr 207, poz. 2109 z późn. zm.) - przy określaniu wartości nieruchomości gruntowej jako przedmiotu prawa użytkowania wieczystego (Wuw) do celów, o których mowa w art. 69 ustawy o gospodarce nieruchomościmi, wartość tę określa się: jako iloczyn wartości nieruchomości gruntowej niezabudowanej jako przedmiotu prawa własności (Wwł) i współczynnika korygującego (Wk):
Wuw = Wwł x Wk
gdzie:
Wk - współczynnik korygujący;
Sr - stawka procentowa opłaty rocznej nie większa niż 3 %;
t - liczba lat niewykorzystanego okresu użytkowania wieczystego;
T - liczba lat, na które ustanowiono użytkowanie wieczyste;
R - przeciętna stopa kapitalizacji ustalana na podstawie badania rynku nieruchomości przez rzeczoznawcę majątkowego, nie mniejsza jednak niż 0,09 i nie większa niż 0,12.
- Jeżeli nie wcześniej niż w okresie ostatnich dwóch lat przed dniem złożenia wniosku o przekształcenie prawa użytkowania wieczystego w prawo własności nieruchomości była dokonana aktualizacja opłaty rocznej z tytułu użytkowania wieczystego, przyjmuje się wartość nieruchomości określoną dla celów tej aktualizacji.
Rozkładanie opłaty na raty
- Opłatę rozkłada się, na wniosek użytkownika wieczystego, na raty, na czas nie krótszy niż 10 lat i nie dłuższy niż 20 lat, chyba że wnioskodawca wystąpi o okres krótszy niż 10 lat.
- Nieuiszczona część opłaty, rozłożonej na raty podlega oprocentowaniu przy zastosowaniu stopy procentowej równej stopie redyskonta weksli stosowanej przez Narodowy Bank Polski.
- Wojewoda w stosunku do nieruchomości stanowiacych własność Skarbu Pafstwa, a łaściwa rada lub sejmik w stosunku do nieruchomości stanowiących własność jednostek samorzadu terytorialnego, moga wyrazić zgodę na zastosowanie, innej stopy procentowej.
- Wierzytelności z tytułu opłaty, podlega zabezpieczeniu hipoteką przymusową na nieruchomości objętej przekształceniem prawa użytkowania wieczystego w prawo własności. W przypadku przekształcenia udziału w prawie użytkowania wieczystego nieruchomości, zwiazanego z odrębną własnością lokalu, hipoteka przymusowa obciaża nieruchomość lokalową osoby, na rzecz której nastapiło przekształcenie. Podstawa wpisu hipoteki
jest ostateczna decyzja o przekształceniu prawa użytkowania wieczystego w prawo własności nieruchomości.
Bonifikaty od opłat za przekształcenie
Bonifikaty przyznawane są na wniosek lub z urzędu:
I. Bonifikaty udzielane na wniosek:
- Bonifikata w wysokości określonej w uchwale Rady Miasta, Rady Powiatu lub Sejmiku Wojewódzkiego albo w zarządzeniu Wojewody.
- W odniesieniu do nieruchomości stanowiących własność Skarbu Państwa osobom fizycznym, które prawo użytkowania wieczystego uzyskały przed dniem 5 grudnia 1990 r., oraz ich następcom prawnym, organ właściwy do wydania decyzji udziela, na ich wniosek, 50% bonifikaty od opłaty za przekształcenie.
II. Bonifikaty udzielane z urzędu:
- W odniesieniu do nieruchomości lub jej części wpisanej do rejestru zabytków, opłatę za przekształcenie obniża się o 50 %.
III. W odniesieniu do nieruchomości stanowiących własność Skarbu Państwa organ właściwy do wydania decyzji może, na podstawie zarządzenia wojewody, udzielić wyższej, niż określona w pkt. I bonifikaty od opłaty za przekształcenie. W odniesieniu do nieruchomości stanowiących własność jednostek samorządu terytorialnego organ właściwy do wydania decyzji może, na podstawie uchwały właściwej rady lub sejmiku, udzielić wyższej, niż określona w pkt II, bonifikaty od opłaty za przekształcenie.
IV. W razie zbiegu praw do bonifikat z ww. tytułów obowiązkowej bądź podwyższonej bonifikaty, stosuje się jedną bonifikatę korzystniejszą dla użytkownika wieczystego.
V. Bonifikata (zwaloryzowana) podlega zwrotowi, jeżeli osoba, na rzecz której zostało przekształcone prawo użytkowania wieczystego w prawo własności nieruchomości przed upływem 5 lat, licząc od dnia przekształcenia, zbyła lub wykorzystała nieruchomość na inne cele niż cele, które stanowiły podstawę udzielenia bonifikaty. Nie dotyczy to zbycia na rzecz osoby bliskiej, spółdzielni mieszkaniowej w przypadku ustanowienia odrębnej własności na rzecz członków oraz właścicieli lokali, którym przekształcono udział w prawie użytkowania wieczystego w prawo własności.
W szczególnie uzasadnionych przypadkach organ może odstapić od żadania zwrotu bonifikaty, za zgoda odpowiednio wojewody, rady lub sejmiku.
4. Wymagane dokumenty:
- Wniosek użytkownika wieczystego, bądź w przypadku współużytkowania - wszystkich współużytkowników wieczystych.
- Odpis księgi wieczystej nieruchomości będącej przedmiotem użytkowania wieczystego inne dokumenty potwierdzające aktualny stan prawny (umowa kupna – sprzedaży, umowa o ustanowieniu prawa użytkowania wieczystego, umowa zamiany, orzeczenie sądu, postanowienie o nabyciu spadku, itp).
- W odniesieniu do nieruchomości rolnych, informacja o przeznaczeniu nieruchomości w miejscowym planie zagospodarowania przestrzennego.
5. Decyzję o przekształceniu prawa użytkowania wieczystego w prawo własności nieruchomości wydaje:
- Starosta - w przypadku nieruchomości stanowiących własność Skarbu Państwa, w tym również, w stosunku do których prawo własności wykonują inne państwowe osoby prawne.
- Wójt, burmistrz, prezydent miasta, zarząd powiatu albo zarząd województwa – odpowiednio do nieruchomości stanowiących własność jednostek samorządu terytorialnego.


.jpg)
